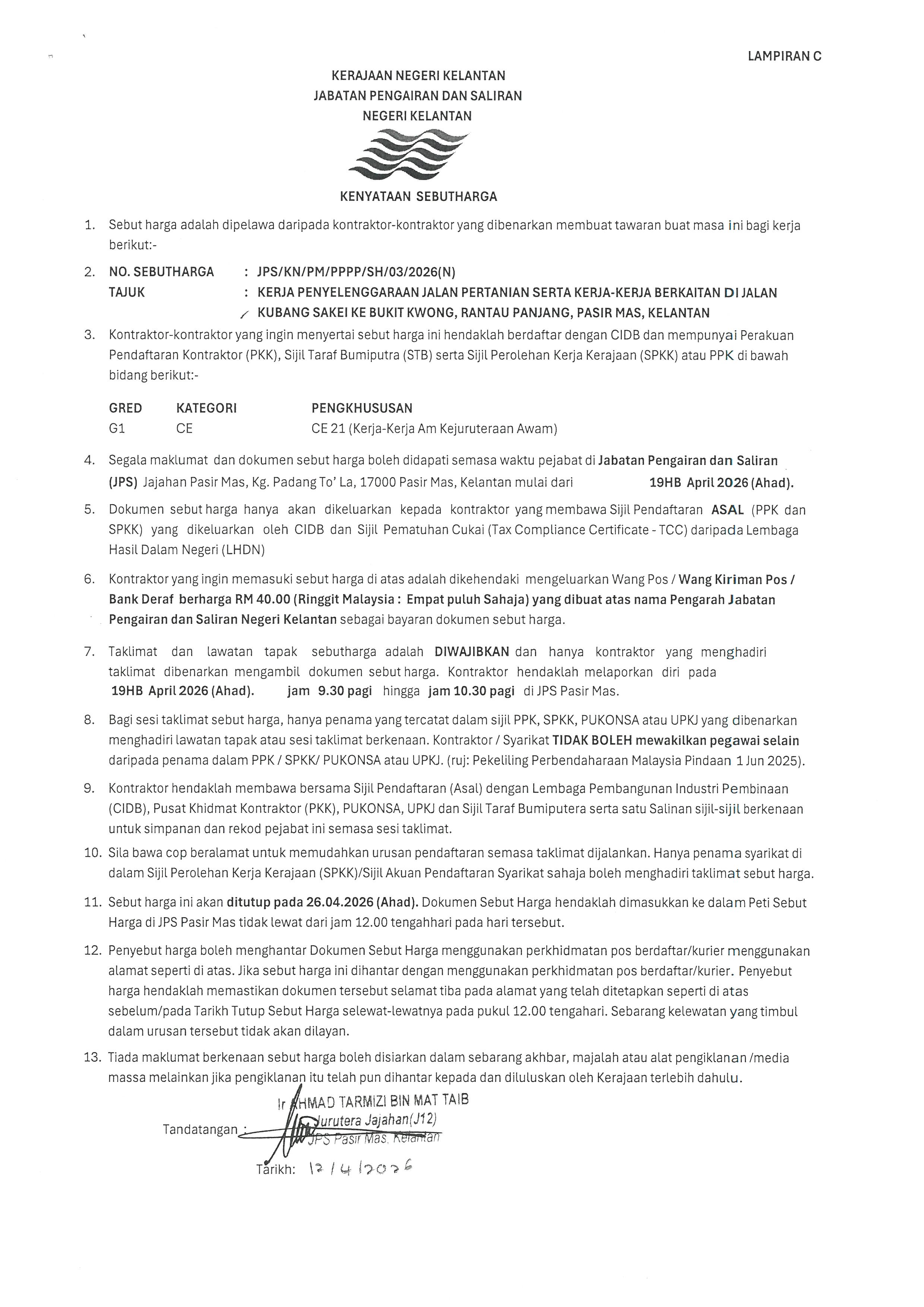
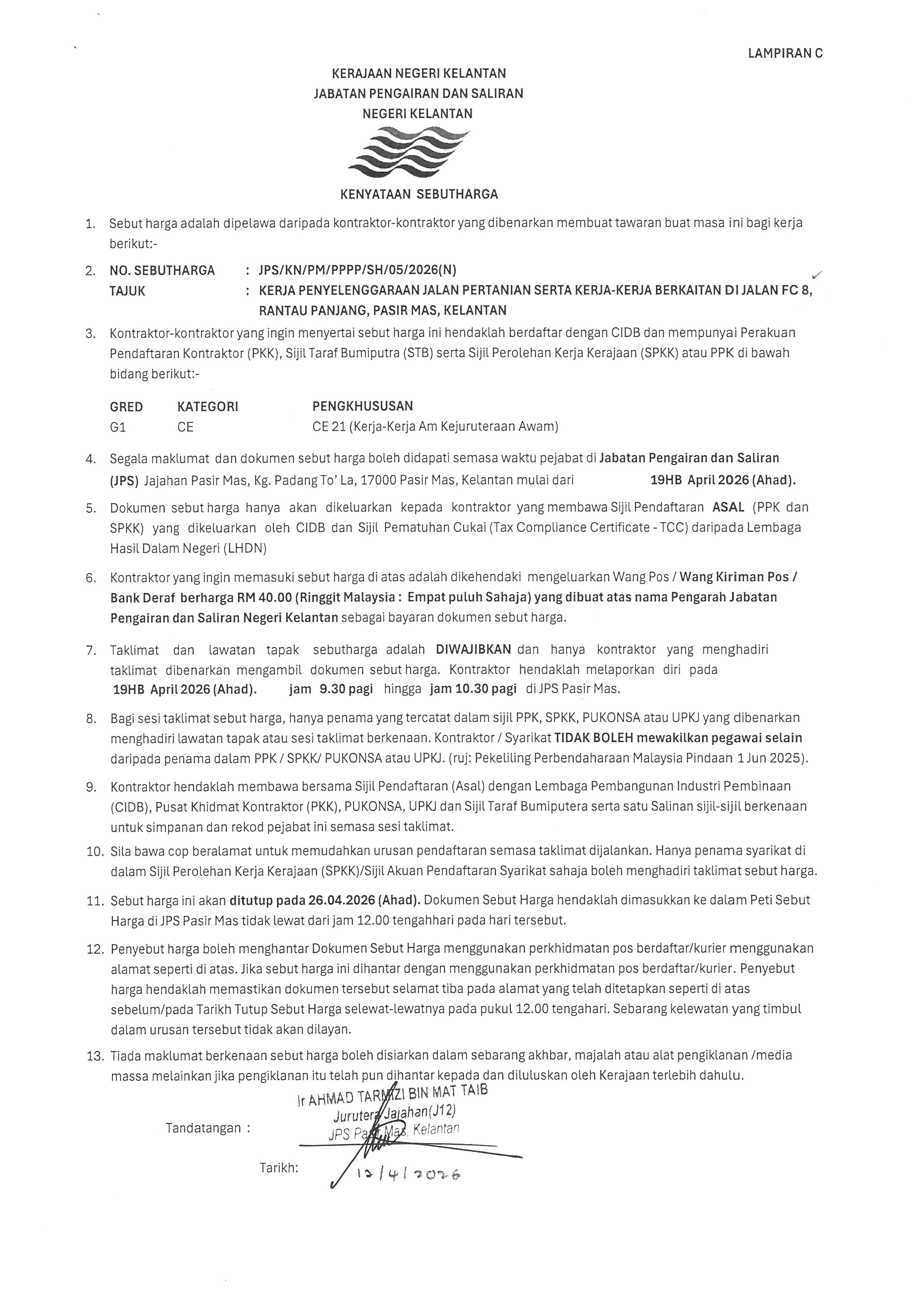
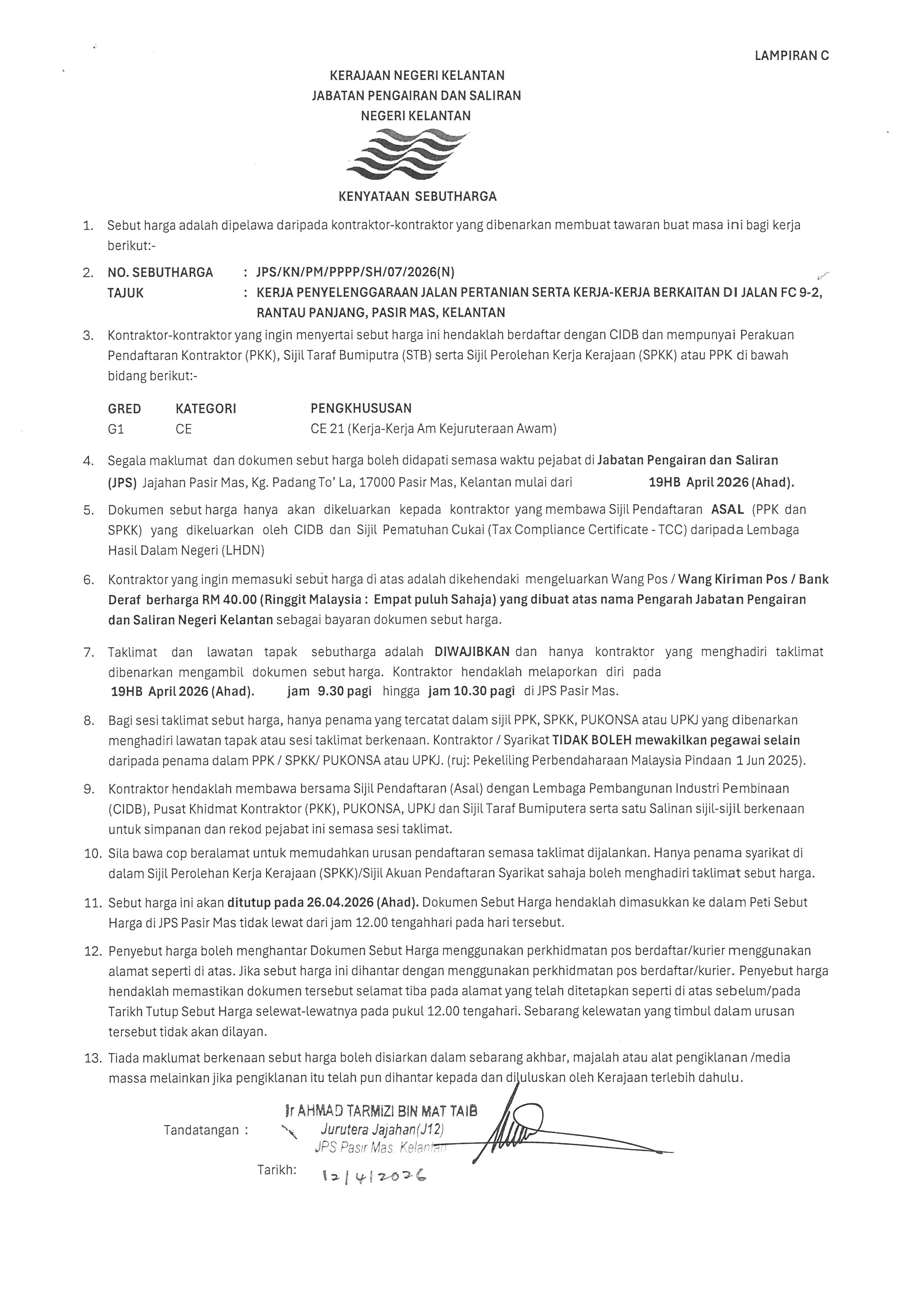
Notis Sebutharga SH05-07 Jabatan Pengairan Dan Saliran Jajahan Pasir Mas, Kelantan
Sebutharga dipelawa daripada kontraktor-kontraktor yang dibenarkan membuat tawaran buat masa ini bagi kerja berikut :
No. Sebut Harga :
Dokumen Sebutharga boleh didapati mulai
di Jabatan Pengairan Dan Saliran Jajahan Pasir Mas,Kelantan
Tarikh Tutup Penyertaan pada
26 April 2026 (Ahad)
sebelum atau tidak lewat dari jam 12.00 tengahari
Dokumen Sebutharga yang lengkap diisi hendaklah di masukkan ke dalam peti Sebut Harga di
Jabatan Pengairan Dan Saliran Jajahan Pasir Mas,Kelantan
- Last updated on .
- Hits: 42






